40 + 试管妈妈必看:这两个被颠覆的真相,让你离抱娃更近一步
大部分人肯定冲 “学霸胚胎” 下手!但最新研究却给高龄妈妈泼了盆冷水:在 40 + 的试管路上,长得丑、个头小的胚胎,可能才是 “潜力股”!
以前我们总迷信胚胎评分,比如 Gardner 评分里的 “4AA”,就像班级里的尖子生,长得漂亮还扩张得好。但对 40 岁以上的姐妹来说,这套标准可能 “坑” 了你 ——
1. 胚胎评分的 “隐藏 bug”:大≠好,能 “破壳” 才是真本事!
胚胎就像气球,评分里的数字 1-6 代表膨胀程度(比如 6 级是 “完全鼓起来”),后面的 AA/BB 代表细胞质量。但研究发现:
35 岁以上女性的囊胚更 “懒”:超半数囊胚 “大而不破”(体积大但没孵化),但染色体异常率反而更高;
小个头胚胎反而 “勤劳”:比如 5BB 级胚胎,虽然体积小,但只要能自己破壳(孵化),染色体正常率比 4AA 高 15%!
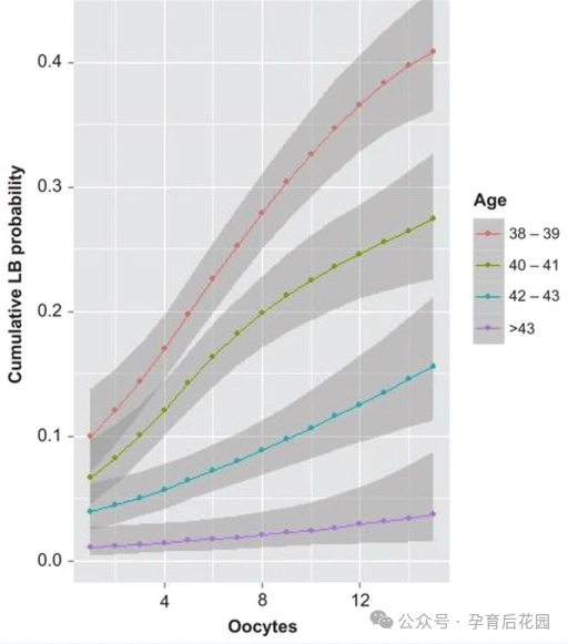
“多取卵 = 多攒胚胎 = 多试几次”,这是很多高龄姐妹的执念。但数据打脸了:
1. 取卵数和成功率的 “年龄分水岭”:41 岁是道坎!
丹麦医院分析了 4570 个高龄试管周期,发现:
41 岁以下:取卵数越多,活产率越高(比如取 8 个卵活产率 25.9%);
41 岁以上:取卵数和成功率 “脱钩”!哪怕取 10 个卵,活产率也可能不到 10%;
44 岁以上:取卵数再多,活产率基本在 1%-2% 徘徊,相当于 “白忙活”。
2. 高龄取卵的真相:卵子质量比数量更致命!
随着年龄增长,卵子的 “染色体异常率” 像坐火箭一样飙升:
35 岁时,约 40% 的卵子染色体异常;
40 岁时,这个比例超过 60%;
所以就算 42 岁取了 10 个卵,可能只有 2 个能发育成正常胚胎 —— 这也是为什么高龄妈妈 “攒卵无数,却难着床” 的核心原因。
三、高龄试管的正确姿势:3 个实操建议,少走弯路!
1. 选胚胎:优先看 “孵化能力”,而非 “颜值”
让医生重点关注囊胚是否 “正在破壳”(孵化中); 别排斥 5BB、6BC 等 “次级胚胎”,它们可能比 4AA 更适合你。
2. 取卵数:41 岁以下别贪多,41 岁以上重质量
<41 岁:争取一次取 8-10 个卵,够攒 2-3 次移植; ≥41 岁:别硬扛促排卵,先查 AMH 和卵巢储备,优先做基因检测(PGT-A)筛选健康胚胎。
3. 心态调整:别被 “数字焦虑” 绑架
高龄试管的核心是 “精准打击”:1 个健康胚胎的着床率,可能比 10 个普通胚胎更高; 冷冻胚胎对 41 岁以下更有效,但 42 岁以上别依赖 “攒胚胎”,尽早启动移植更关键。
结尾:高龄试管不是 “拼数量”,而是 “拼认知”
40 + 的试管路,就像一场和时间的博弈。扔掉对 “优质胚胎” 和 “多取卵” 的执念,看懂胚胎孵化的秘密、认清卵子质量的真相,才能在有限的机会里抓住最大的希望。
记住:高龄妈妈的试管成功,从来不是靠 “运气”,而是靠 “选对方向”。


